转化医学研究院和附属邵逸夫医院合作研究成果在Clinical Cancer Research在线发表
发布日期:2016年10月13日
来源:银河线路检测中心
阅读量:950
近日,附属邵逸夫医院孙晓南研究组和转化医学研究院牛田野研究组在Clinical Cancer Research (IF 8.7) 发表题为“Rectal Cancer: Assessment of Neoadjuvant Chemoradiation Outcome based on Radiomics of Multiparametric MRI”的研究论文。
该研究基于直肠癌临床热点,旨在优化局部晚期直肠癌综合治疗模式,目前已取得初步成果,接下来将结合基因组学、动态显像模式等手段,深入探讨如何可靠预测直肠癌放化疗敏感性,为最终合理转化为临床指南提供循证医学依据,指导分层放化疗敏感病人并使其接受个体化治疗方案,让更多直肠癌患者获益。

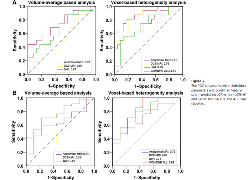
该研究探讨了运用直肠多参数磁共振放射组学特征参数早期预测局部晚期直肠癌术前新辅助放化疗病理缓解程度的价值。研究组回顾性连续收录48例接受术前新辅助放化疗局部晚期直肠癌患者(01/2012–11/2014),患者有完整治疗前多参数磁共振资料(包括结构显像T1/T2、弥散加权显像DWI、多时相增强显像序列),病理缓解程度(TRG)评价标准参照直肠癌2015年NCCN指南。研究运用的影像特征量化提取方式是:每例患者运用容积平均法(volume-averaged 25)和体素法可共量化提取103项放射组学特征参数,包含形态学特征、水分子运动特征、血流学特征。研究统计分析发现:使用单因素分析法分析各独立影像特征参数预测病理完全缓解或病理良好缓解的相关性。使用人工神经网络技术进一步筛选区分不同缓解程度的最佳预测子集,然后使用ROC曲线分析评价预测效能。
研究结果表明:常规容积评价分析法在预测病理完全缓解中AUC值为0.54-0.73;使用体素异质性分析法分析时,预测性模型准确性AUC值为0.54-0.73;在病理缓解良好病例中所得结果相近。每个特征参数子集病理缓解预测效能较小,当各子集结合起来进行系统性分析时,预测病理完全缓解时AUC达到0.84,预测病理良好缓解时AUC达到0.89。通过全面系统分析多参数磁共振影像特征,并建立预测模型,显示出较常规影像算法有更高预测价值。研究结果令人鼓舞,提示影像放射组学将在推进个体化治疗中有巨大应用价值。
该成果属于学科交叉研究项目,是转化医学研究院的重点鼓励的方向之一。团队成员由临床医生、放射科医生、物理学家和工程师共同组成。除了在高影响力的国际期刊发表外,该成果在2015年7月得到美国医学物理学会(AAPM)科学委员会论坛的高度评价,获大会科学论坛最佳论文奖。据悉,科学委员会论坛是AAPM的专业论坛,每年经专家匿名投票选出10篇左右最佳论文作大会报告并颁奖。该论文是入选该论坛的报告,是对该成果科学价值和研究水平的充分肯定。
孙晓南主任为论文主通讯作者,牛田野教授为共同通讯作者,邵逸夫医院放射科施利明医生和胡溪医生参与了课题,合作单位有美国Rutgers大学附属医院。该研究得到了国家高技术研究发展计划(863计划)、国家自然科学基金和浙江省自然科学基金的资助。
2015年美国医学物理学会(AAPM)科学委员会论坛获奖证书




